
由于气候变化以及由此产生的节能目标,评估各种车辆的热舒适性的需求不断增加。特别是评估城市公交车的热舒适性。车辆的电气化也推动了节能的需求。在这些车辆中,加热不再是“免费”的,就像内燃动力车辆一样,从电池中冷却能量,从而影响车辆续航里程。
因此,在运输行业,OEM和供应商面临着在设计周期的早期处理热舒适性的挑战,以快速做出最佳决策,从而避免低效的后期迭代。在早期设计中引入热舒适性评估应该能够快速、轻松地给出正确的趋势,而不是因为所有系统组件都没有最终确定而涉及太多细节。应针对各种配置和现实条件,即瞬态场景,对其进行逻辑评估。
为了应对这一挑战,我们经常使用系统模拟,但是由于气流的3D性质,使得模拟无法提供足够的保真度。而使用全三维CFD方法进行计算的经典替代方案也不是最佳的,因为CAD需要完全可用,并且可以处理的配置数量也是有限。
Simcenter Amesim嵌入式CFD 概述
考虑到上述挑战,Simcenter Amesim的嵌入式CFD方法实际上是将系统模拟方法与Simcenter STAR-CCM+3D CFD方法相结合的一个很好的折衷方案。该工具被描述为1D和3D CFD模拟环境之间的混合工具,受益于这两种技术。它提供了3D分辨率的保真度以及接近1D的模拟时间。
Simcenter Amesim嵌入式CFD为座舱舒适性提供了更多可能性。它可以处理任何类型的机舱,从2座汽车到整个商用飞机。可以定义自己的几何图形、空气区域的数量、通风口的位置、材料的类型等等。

这里将通过多区域建模方法评估城市公交车热舒适性的具体场景来说明Simcenter Amesim嵌入式CFD的使用。我们在第一阶段模拟整个巴士冷却,然后是连续两次巴士停靠,在此期间,前门和中门都打开。
下图显示了包含座舱组件的HEAT库。默认情况下,该部件有3个外部端口,用于在左侧连接空气质量流量、温度、压力和湿度方面的通风口边界条件,在右侧连接车辆速度和环境空气温度。
Simcenter Amesim客舱热模型,带连接通风口
为了从上述Simcenter Amesim模型构建3D几何结构,从客舱组件启动Simcenter Amesim嵌入式CFD应用程序。逐步的GUI可以引导完成1D-3D耦合模拟。
Simcenter Amesim嵌入式CFD几何步骤
三维几何体是用XYZ坐标和基本块(如长方体、圆柱体、三维多边形等)的尺寸构建的。其单元可以有三种类型:
流体:创建感兴趣的流体环境
实体:创建将作为与空气交换热量的实体处理的对象
障碍物:从流体域中清除的材料
可以使用切割平面将全局体积划分为感兴趣的空气区域。对于巴士模型,总共定义了16个空气区域,如下所示。
巴士车厢分为16个空气区
为了帮助构建几何体,可以关联一个动态三维查看器。几何图形完成后,可以触发Simcenter STAR-CCM+模型。
在第二步中,可以执行以下几个操作:
重命名几何图形中的图元(体积和面)
将边界条件关联到面
Simcenter Amesim和Simcenter STAR-CCM+之间要交换的关联变量,只需使用拖放即可
定义平均网格大小并允许处理重力
Simcenter Amesim嵌入式CFD步骤
模拟瞬态场景
在运行模型之前,在“3D模型到1D草图”步骤中自动生成机舱的1D结构。在该步骤开始时,可能需要重新定义连接到舱室的MUX元件的尺寸。完成之后,就可以定义并启动运行,然后可以访问后处理的3D结果,如下图所示。
Simcenter Amesim嵌入式CFD 3D运行步骤结果
当然,也可以在Simcenter Amesim中查看瞬态结果;下图显示了冷却期间16个空气区温度的演变。
Simcenter Amesim嵌入式CFD瞬态冷却温度结果
我们清楚地看到了600秒后公交车两次停车开门,每次开门约30秒过程的温度变化影响。
现在让我们详细了解:
如何将Simcenter Amesim和Simcenter STAR-CCM结合起来+
如何模拟开门
作为前面显示的嵌入式CFD工作流程的一部分,可以自动生成Simcenter Amesim和Simcenter STAR-CCM+之间的信息交换,如下所示。可以添加具有导入/导出功能的自定义交换。

在Simcenter Amesim瞬态期间,可以定义的事件触发这些交换,如下所示。

在这里,Simcenter STAR-CCM+运行是作为稳态计算执行的。事件与“停止”组件关联,可以是基于时间的,也可以是基于任何系统变量更改的。
在巴士的示例中,有2个触发器:
基于时间的触发,间隔不断增加,以便在冷却开始时更准确
一个与公交车速度相关的触发器,用于处理车门的打开和关闭
下图是触发器的说明:
3D调用序列示意图
在公交车示例的场景中,将环境温度设置为35摄氏度。当车门在公交车站期间打开时,在车门处施加一个根据空气密度差计算的质量流量。为此,需要从门旁边的空气区域获取空气温度和湿度,如下所示。
开门和关门顺序的执行
所用的解析模型由Pham和Oliver定义:

[参考] Q.T. Pham, D.W. Oliver, Infiltration of air into cold stores, in: Proceedings of 16th International Congress of Refrigeration, vol. 4, 1983, pp. 67–72.
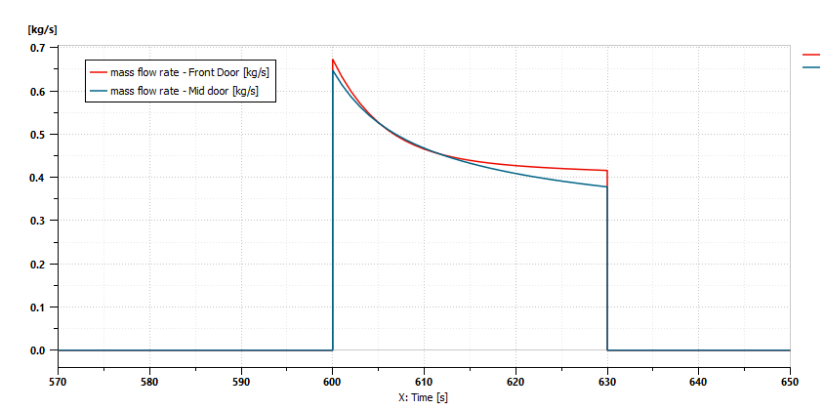
质量流量分布如下:
车门打开时的外部空气质量流量入口
总结
车门的打开/关闭在这里被认为是瞬时的,当然可以调整得更为现实。由此案例我们已经证明,Simcenter Amesim嵌入式CFD是通过多区域建模方法评估城市公交车热舒适性的正确工具,尤其是在决策至关重要的早期设计阶段。
END